Skip to main content
Icarito
Educa LT
1° a 4° Básico
(Primer Ciclo)
5° a 8° Básico
(Segundo Ciclo)
Educación Media
(Secundaria)
Biografías
Efemérides
Educación Artística
Educación Física
Tecnología
Historia
Inglés
Lenguaje
Ciencias Naturales
Matemáticas
Educación Artística
Ciencias Naturales
Educación Física
Tecnología
Historia
Inglés
Lenguaje
Matemáticas
Educación Artística
Biología – Ecología
Educación Física
Tecnología
Filosofía
Historia
Lenguaje
Matemáticas
Icarito
Educa LT
1° a 4° Básico
(Primer Ciclo)
Educación Artística
Educación Física
Tecnología
Historia
Inglés
Lenguaje
Ciencias Naturales
Matemáticas
5° a 8° Básico
(Segundo Ciclo)
Educación Artística
Ciencias Naturales
Educación Física
Tecnología
Historia
Inglés
Lenguaje
Matemáticas
Educación Media
(Secundaria)
Educación Artística
Biología – Ecología
Educación Física
Tecnología
Filosofía
Historia
Lenguaje
Matemáticas
Biografías
Efemérides
←
Previous image
Next image
→
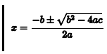
Formula ecuacion
Navegación de entradas
Published in Ecuaciones de segundo grado o cuadráticas